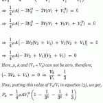
maximum power from wind differentiate equation Discover more from Electrical Engineering 123 Subscribe to get the latest posts sent to your email. Type your email… Subscribe